- 新闻中心
| 153项农业行业标准—污泥被列为农用有机肥禁用原料 |
| 浏览次数:301 发布时间:2021-06-08 |
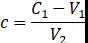
农业农村部于近日批准发布153项农业行业标准。其中,“禁止选用粉煤灰、钢渣、污泥、生活垃圾(经分类陈化后的厨余废弃物除外)、含有外来入侵物种物料和法律法规禁止的物料等存在安全隐患的禁用类原料。”的规定引起了行业关注。
污泥禁止作为农用有机肥的原料,这个消息对污泥圈来说,不亚于投下一颗重磅炸弹。一直以来,污泥的主要出路是“焚烧加制砖、发酵后土地利用、建材化利用”。尤其是好氧发酵土地利用的路线,备受各地政府的青睐,各种污泥堆肥、发酵槽、发酵罐等项目四面开花。三条出路砍去一个,预计接下来,污泥焚烧发电、污泥干化制砖这两个途径会瓜分污泥有机 肥的原有市场。 当然,污泥土地利用之路也不是完全被堵死,要理性看待。污泥虽然不能作为农用有机肥,但还可以作为园林绿化、矿山修复、沙漠化土壤改良等营养基质来使用。例如在我国的西北地区,土壤贫瘠化严重,饱受沙漠戈壁风化侵蚀,大量的污泥营养土恰恰可以满足防风固沙所栽种植被的生存需求。污泥从自然中来,回归自然中去,也是合情合理的一个出路。只是要明确,污泥不能进入食物链范围内应用。 农业农村部表示,有机肥标准是规范有机肥市场,促进有机肥产业健康发展的重要保障。合理利用有机肥资源,促进有机物料还田是提高耕地质量、缓解环境污染、保障粮食安全和农产品质量安全的重大举措。新修订的《有机肥料》农业行业标准增加了产品腐熟度等安全性指标,明确了有机肥料生产原料分类管理目录,细化了包装标识等内容。与修订前相比,修订后的标准更具有科学性和实用性,将对有机肥料行业健康发展起到重要的促进作用。 下面大家跟着环保365产品销毁中心一起来了解一下新修订的NY/T 525-2021有哪些改变呢? 本文件代替NY525-2012《有机肥料》,与NY525-2012相比,除结构调整和编辑性改动外,主要技术变化如下: a)取消了强制性条款的规定; b)修改了标准的适用范围(见1); 1 范围 本文件规定了有机肥料的技术要求、检测方法、检验规则、包装、标识、运输和贮存. 本文件适用于以畜禽粪便、秸秆等有机废弃物为原料,经发酵腐熟后制成的商品化有机肥料. 本文件不适用于绿肥,以及农家肥等自积自造的粪肥和堆肥. c)增加了"腐熟度"和"种子发芽指数"的术语和定义(见3.3、3.4); 3.3 腐熟度maturity 腐熟度即腐熟的程度,指堆肥中有机物经过矿化、腐殖化过程后达到稳定化的程度. 3.4 种子发芽指数germinationindex 以黄瓜或萝卜种子为试验材料,有机肥料浸提液的种子发芽率和种子平均根长的乘积与水的种子发芽率和种子平均根长的乘积的比值,用于评价有机肥料的腐熟度.[来源:NY/T3442-2019,3.6,有修改] d)增加了生产原料分类管理目录及评估类原料安全性评价(见附录A和B); 附录A (规范性) 有机肥料生产原料分类管理目录
附录B (规范性) 评估类原料安全性评价 有机肥料生产评估类原料安全性评价要求见表B.1.
e)删除了对产品颜色的要求(见4.2); 4 要求 4.2产品 4.2.1外观.外观均匀,粉状或颗粒状,无恶臭.目视、鼻嗅测定. 4.2.2技术指标.技术指标应符合表1的要求.
4.2.3限量指标.有机肥料中限量指标应符合表2的要求.
f)修改了总养分的质量分数(见表1); g)增加了机械杂质的质量分数的限定(见表1); h)增加了种子发芽指数的限定(见表1); i)修改了有机质含量的计算方法及质量分数(见表1、附录C); 附录C (规范性) 有机质含量测定(重铬酸钾容量法) 本文件方法中所用水应符合GB/T6682中三级水的规定.所列试剂,除注明外,均指分析纯试剂.本文件中所用的标准滴定溶液、标准溶液、试剂溶液和指示剂溶液,在未说明配制方法时,均按HG/T2843配制. C.1方法原理 用定量的重铬酸钾—硫酸溶液,在加热条件下,使有机肥料中的有机碳氧化,多余的重铬酸钾溶液用硫酸亚铁标准溶液滴定,同时以二氧化硅为添加物作空白试验.根据氧化前后氧化剂消耗量,计算有机碳含量,乘以系数1.724,为有机质含量. C.2试剂及制备 C.2.1二氧化硅:粉末状. C.2.2硫酸(ρ=1.84g/mL). C.2.3重铬酸钾(K2Cr2O7)标准溶液:c(1/6K2Cr2O7)=0.1mol/L. 称取经过130℃烘干至恒重(约3h~4h)的重铬酸钾(基准试剂)4.9031g,先用少量水溶解,然后转移入1L容量瓶中,用水稀释至刻度,摇匀备用. C.2.4重铬酸钾溶液(K2Cr2O7):c(1/6K2Cr2O7)=0.8mol/L. 称取重铬酸钾(分析纯)39.23g,溶于600mL~800mL水中(必要时可加热溶解),冷却后转移入1L容量瓶中,稀释至刻度,摇匀备用. C.2.5邻啡啰啉指示剂 称取硫酸亚铁(FeSO4·7H2O,分析纯)0.695g和邻啡啰啉(C12H8N2?H2O,分析纯)1.485g溶于100mL水,摇匀备用.此指示剂易变质,应密闭保存于棕色瓶中. C.2.6硫酸亚铁(FeSO4)标准溶液:c(FeSO4)=0.2mol/L. 称取(FeSO4·7H2O)(分析纯)55.6g,溶于900mL水中,加硫酸(C.2.2)20mL溶解,稀释至1L,摇匀备用(必要时过滤).此溶液的准确浓度以0.1mol/L重铬酸钾标准溶液(C.2.3)标定,现用现标定. c(FeSO4)=0.2mol/L标准溶液的标定:吸取重铬酸钾标准溶液(C.2.3)20.00mL加入150mL三角瓶中,加硫酸(C.2.2)3mL~5mL和2滴~3滴邻啡啰啉指示剂(C.2.5),用硫酸亚铁标准溶液(C.2.6)滴定.根据硫酸亚铁标准溶液滴定时的消耗量按公式(C.1)计算其准确浓度c:
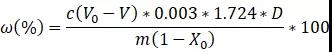
………………………………………(C.1) 公式中: c1——重铬酸钾标准溶液的浓度,单位为摩尔每升(mol/L);v1——吸取重铬酸钾标准溶液的体积,单位为毫升(mL);v2——滴定时消耗硫酸亚铁标准溶液的体积,单位为毫升(mL). C.3仪器、设备 C.3.1水浴锅. C.3.2天平等实验室常用仪器设备. C.4测定步骤 称取过Φ1mm筛的风干试样0.2g~0.5g(精确至0.0001g,含有机碳不大于15mg),置于500mL的三角瓶中,准确加入0.8mol/L重铬酸钾溶液(C.2.4)50.0mL,再加入50.0mL浓硫酸(C.2.2),加一弯颈小漏斗,置于沸水中,待水沸腾后计时,保持30min.取出冷却至室温,用水冲洗小漏斗,洗液承接于三角瓶中.取下三角瓶,将反应物无损转入250mL容量瓶中,冷却至室温,定容,吸取50.0mL溶液于250mL三角瓶内,加水约至100mL左右,加2滴~3滴邻啡啰啉指示剂(C.2.5),用0.2mol/L硫酸亚铁标准溶液(C.2.6)滴定近终点时,溶液由绿色变成暗绿色,再逐滴加入硫酸亚铁标准溶液直至生成砖红色为止.同时称取0.2g(精确至0.001g)二氧化硅(C.2.1)代替试样,按照相同分析步骤,使用同样的试剂,进行空白试验. 如果滴定试样所用硫酸亚铁标准溶液的用量不到空白试验所用硫酸亚铁标准溶液用量的1/3时,则应减少称样量,重新测定. C.5分析结果的表述 有机质含量以肥料的质量分数ω(%)表示,按公式(C.2)计算:
……………………………………(C.2) 公式中: c——硫酸亚铁标准溶液的浓度,单位为摩尔每升(mol/L);V0——空白试验时,消耗硫酸亚铁标准溶液的体积,单位为毫升(mL);V——样品测定时,消耗硫酸亚铁标准溶液的体积,单位为毫升(mL);0.003——四分之一碳原子的摩尔质量,单位为克每摩尔(g/mol);1.724——由有机碳换算为有机质的系数; m——风干样质量,单位为克(g); X0——风干样含水量; D——分取倍数,定容体积/分取体积,250/50. C.6允许差 C.6.1取平行分析结果的算术平均值为测定结果. C.6.2平行测定结果的绝对差值应符合表C.1要求.
不同实验室测定结果的绝对差值应符合表 C.2 要求.
j)修改了总氮、总磷和总钾含量的测定方法(见附录D); 附 录 D (规范性) 总养分含量测定 D.1 总氮含量测定 D.1.1 方法原理 有机肥料中的有机氮经硫酸—过氧化氢消煮,转化为铵态氮.碱化后蒸馏出来的氮用硼酸溶液吸收,以标准酸溶液滴定,计算样品中的总氮含量. D.1.2 试剂与制备 D.1.2.1 硫酸(ρ=1.84 g/mL). D.1.2.2 30%过氧化氢 D.1.2.3 氢氧化钠溶液:质量浓度为 40%的溶液.称取 40g 氢氧化钠(化学纯)溶于 100 mL 水中. D.1.2.4 硼酸溶液(2%,m/V):称取 20 g 硼酸溶于水中,稀释至 1L. D.1.2.5 定氮混合指示剂:称取 0.5 g 溴甲酚绿和 0.1 g 甲基红溶于 100 mL 95%乙醇中. D.1.2.6硼酸—指示剂混合液:每升2%硼酸(D.1.2.4)溶液中加入20 mL定氮混合指示剂(D.1.2.5)并用稀碱或稀酸调至紫色(pH 约为 4.5).此溶液放置时间不宜过长,如在施用过程中 pH 有变化,需随时用稀碱或稀酸调节. D.1.2.7 硫酸 c(1/2H2SO4 = 0.05 mol/L)或盐酸 c(HCl) = 0.05 mol/L 标准溶液. D.1.3 仪器、设备 D.1.3.1 实验室常用仪器设备. D.1.3.2 消煮仪. D.1.3.3 全自动定氮仪、定氮蒸馏仪或具有相同功效的蒸馏装置. D.1.4 分析步骤 D.1.4.1 试样溶液制备 称取过 Φ1 mm 筛的风干试样 0.5 g ~ 1.0 g(精确至 0.0001 g),置于 250 mL 锥形瓶底部或体积适量的消煮管底部,用少量水冲洗粘附在瓶/管壁上的试样,加 5 mL 硫酸(D.1.2.1)和 1.5 mL过氧化氢(D.1.2.2),小心摇匀,瓶口放一弯颈小漏斗,放置过夜.缓慢加热至硫酸冒烟,取下,稍冷加 15 滴过氧化氢,轻轻摇动锥形瓶或消煮管,加热 10 min,取下,稍等冷后再加 5 滴~10 滴过氧化氢并分次消煮,直至溶液呈无色或淡黄色清液后,继续加热 10 min,除尽剩余的过氧化氢. 取下冷却,小心加水至 20 mL~30 mL,加热沸腾.取下冷却,用少量水冲洗弯颈小漏斗,洗液收入锥形瓶或消煮管中.将消煮液移入 100 mL 容量瓶中,冷却至室温,加水定容至刻度.静置澄清或用无磷滤纸干过滤到具塞三角瓶中,备用. D.1.4.2 空白试验 除不加试样外,试剂用量和操作同 D.1.4.1. D.1.4.3 测定 于锥形瓶中加入 10 mL 硼酸—指示剂混合液(D.1.2.6),放置锥形瓶于蒸馏仪器氨液接收托盘上.吸取消煮清液 50.0 mL 于蒸馏瓶内,加入 200 mL 水.将蒸馏管与定氮仪器蒸馏头相连接,加入 15 mL 氢氧化钠溶液(D.1.2.3),蒸馏.当蒸馏液体达到约 100 mL 时,即可停止蒸馏. 用硫酸标准溶液或盐酸标准溶液(D.1.2.7)直接滴定馏出液,由蓝色刚变至紫红色为终点.记录消耗酸标准溶液的体积.D.1.5 分析结果的表述肥料的总氮含量以肥料的质量分数表示,按公式(D.1)计算,所得结果应表示至两位小数.
……………………………(D.1) 公式中: C ——标定标准溶液的摩尔浓度,单位为摩尔每升(mol/L);V ——空白试验时,消耗标定标准溶液的体积,单位为毫升(mL);V0 ——样品测定时,消耗标定标准溶液的体积,单位为毫升(mL);0.014——氮的摩尔质量,单位为克每摩尔(g/mol); m ——风干样质量,单位为克(g); X0——风干样含水量; D ——分取倍数,定容体积/分取体积,100/50. D.1.6 允许差 取两个平行测定结果的算术平均值为测定结果.两个平行测定结果允许绝对差应符合表 D.1的要求.
D.2总磷含量测定 D.2.1试样溶液制备 按照D.1.4.1操作制备. D.2.2空白溶液制备 除不加试样外,应用的试剂和操作同D.2.1. D.2.3分析步骤与结果表述 吸取试样溶液5.00~10.00mL于50mL容量瓶中,按照NY/T2541-2014规定的"5.2等离子体发射光谱法"或"5.3分光光度法"执行,以烘干基计.其中"分光光度法"为仲裁法. D.3总钾含量测定 D.3.1试样溶液制备 按照D.1.4.1操作制备. D.3.2空白溶液制备 除不加试样外,应用的试剂和操作同D.3.1. D.3.3分析步骤与结果表述
吸取5.0mL试样溶液于50mL容量瓶中,按照NY/T2540-2014规定的"5.2火焰光度法"或"5.3等离子体发射光谱法"执行,以烘干基计.其中"火焰光度法"为仲裁法. k)增加了机械杂质的质量分数和种子发芽指数的测定方法(见附录F和附录G); 附录F (规范性) 种子发芽指数(GI)的测定方法 F.1主要仪器和试剂 培养皿、滤纸、水,往复式水平振荡机、恒温培养箱. F.2试验步骤 称取试样(鲜样)10.00g,置于250mL锥形瓶中,将样品含水率折算后,按照固液比(质量/体积)1:10加入100mL水,盖紧瓶盖后垂直固定于往复式水平振荡机上,调节频率100次/分,振幅不小于40mm,在25℃下振荡浸提1h,取下静置0.5h后,取上清液于预先安装好滤纸的过滤装置上过滤,收集过滤后的浸提液,摇匀后供分析用. 在9cm培养皿中放置1或2张定性滤纸,其上均匀放入10粒大小基本一致、饱满的黄瓜(或萝卜,未包衣)种子,加入供试样浸提液10mL,盖上培养皿盖,在25℃±2℃的培养箱中避光培养48h,统计发芽率和测量主根长. 以水作对照,做空白试验. 注:特殊原料可依据专家评估结果确定固液比. F.3分析结果的表述 种子发芽指数(GI)按公式(F.1)计算:
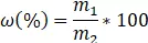
……………………………(F.1) 公式中: A1——有机肥浸提液的种子发芽率,%; A2——有机肥浸提液培养种子的平均根长,mm; B1——水的种子发芽率,%; B2——水培养种子的平均根长,mm. F.4允许差 取平行测定结果的算术平均值为最终分析结果,计算结果保留到小数点后一位. 平行分析结果的绝对差值不大于5%. 附录G (规范性) 机械杂质的质量分数的测定 G.1主要仪器 天平,筛子等. G.2分析步骤 取风干试样500g(精确到0.1g),记录样品总重m1,过4mm筛子,将筛上物用目选法挑出其中的石块、塑料、玻璃、金属等机械杂质并称重,记录为m2,计算样品中机械杂质的质量分数ω(%). G.3分析结果的表述 机械杂质含量以质量分数ω(%)表示,按公式(G.1)计算:
……………………………………(G.1) 公式中: ω(%)——表示有机肥料中机械杂质的质量分数; 2——表示有机肥料中机械杂质的质量,单位为克(g);1——风干试样的总质量,单位为克(g). G.4允许差 取平行分析结果的算术平均值为最终测定结果,保留到小数点后一位.平行测定结果的绝对差值应符合表G.1要求. l)修改了检验规则(见5); 5检验规则 5.1检验类别 产品检验包括型式检验和出厂检验.出厂检验应由生产企业质量监督部门进行检验,生产企业应保证所有出厂的有机肥料均符合第4章的要求.型式检验项目在下列情况时应检验: a)正式生产时,原料、工艺发生变化; b)正式生产时,定期或积累到一定量后,每半年至少进行一次检验;c)停产再复产时; d)国家质量监管部门提出型式检验的要求时; e)出现重大争议或双方认为有必要进行检测的时候. 5.2检验项目 5.2.1型式检验项目包括表1中所有技术指标和表2中所有限量指标. 5.2.2出厂检验指标包括有机质的质量分数、总养分、水分(鲜样)的质量分数、酸碱度、种子发芽指数、机械杂质的质量分数和氯离子含量. 5.3组批 有机肥料按批检验,以1天或2天的产量为一批,最大批量为500t. 5.4采样 5.4.1采样方法 5.4.1.1袋装产品 采取随机抽样的方法,有机肥料产品总袋数与最少采样袋数见表3.将抽出的样品袋平放,每袋从最长对角线插入取样器,从包装物的表面、中间和底部三个水平取样,每袋取出不少于200g样品,每批产品采取的样品总量不少于4000g.或拆包用取样铲或勺取样.总袋数超过512袋时,最少采样袋数按公式(1)计算: 最少采样袋数
…………………………………………………(1) 公式中:N——每批取样总袋数.
5.4.1.2散装产品 从堆状等散装样品中采样时,从同一批次的样品堆中用勺、铲或取样器采集适量的样品混合均匀,随机选取的采集点不少于7个,从样品堆的表面及内部抽取的样品总量不少于4000g.从产品流水线上取样时,根据物料流动的速度,每10袋或间隔2min,用取样器取出所需的样品,抽取的样品总量不少于4000g.用于杂草种子活性测定时应另取一份不少于6000g的样品,装入干净的采样袋中备用. 5.4.2样品缩分 将选取的样品迅速混匀,用四分法将样品缩分至约2000g,分装于3个干净的聚乙烯或玻璃材质的广口瓶中,每份样品重量不少于600g,密封并贴上标签,注明生产企业名称、产品名称、批号、原料、取样日期、取样人姓名.其中,一瓶用于鲜样水分和种子发芽指数的测定,一瓶风干用于产品成分分析,一瓶保存至少6个月,以备查用. 5.5试样制备 将5.4.2中一瓶风干后的样品,经多次缩分后取出约100g样品,迅速研磨至全部通过Φ1mm尼龙筛,混匀,收集于干净的样品瓶或自封袋中,作成分分析用.余下的样品供机械杂质的测定用. 5.6结果判定 5.6.1本文件中质量指标合格判断,采用GB/T8170中"修约值比较法"的规定. 5.6.2生产企业应按本文件要求进行出厂检验和型式检验.出厂检验项目和型式检验项目全部符合本文件要求时,判该批产品合格.每批检验合格出厂的产品应附有质量证明书,其内容包括:生产企业名称、地址、产品名称、批号或生产日期、原料名称、产品净含量、有机质含量、总养分含量、pH值及本文件编号. 5.6.3产品出厂检验时,如果检验结果中有指标不符合本文件要求时,应重新自二倍量的包装袋中选取有机肥料样品进行复检;重新检验结果中有指标不符合本文件要求时,则整批肥料判为不合格.
5.6.4当供需双方对产品质量发生异议需仲裁时,按有关规定执行.
m)修改了包装标识要求,增加了原料类型(见6.2、6.3、6.4); 6包装、标识、运输和贮存 6.2有机肥料包装袋上应注明:产品通用名称、商标、包装规格、净含量、主要原料名称(质量分数≥5%,以鲜基计)、有机质含量、总养分含量及单一养分含量、企业名称、生产地址、联系方式、批号或生产日期、肥料登记证号、执行标准号等,建议标注二维码.其余按GB18382执行. 6.3氯离子含量的标明值.当产品中氯离子含量≥2.0%时进行标注.
6.4杂草种子活性的标明值.应注明产品中杂草种子活性的标明值. n)增加了杂草种子活性测定方法(见附录H)。 附录H (规范性) 杂草种子活性的测定 H.1主要仪器和试剂 光照培养箱、托盘、纱布、水. H.2试验步骤 称取有机肥样品(鲜样)3000g(精确到0.1g),记录样品总重m,均匀地铺在托盘中,厚度约为20mm,在30℃条件下的光照培养箱(光照强度和湿度适中)中培养21天.在试验期间,每2~3天补充水分一次,以保持样品潮湿,补水采用喷壶喷水方式,将样品表面喷湿即可.为避免托盘中样品被污染,可以在样品上覆盖薄绒布或纱布.每次补水时观察是否有种子发芽并做记录,21天后统计试验期间发芽种子总株数N. H.3分析结果的表述 杂草种子活性以ω表示,按公式(H.1)计算:
…………………………………………(H.1) 公式中: ω——表示有机肥料中杂草种子活性; N——表示有机肥料中发芽种子总株数; m——表示称取的有机肥质量. H.4允许差
取平行测定结果的算术平均值为最终分析结果,保留一位小数.平行测定结果的绝对差值不大于0.7株/kg.
|




.png)

.jpg)
.jpg)
.jpg)


.jpg)
.jpg)
.jpg)
.jpg)
